一、搞懂前言
我们在开发或者面试的聚集索聚集过程中经常会涉及到索引。今天我们来详细剖析一下索引常用的引非知识点。首先我们先介绍mysql的搞懂常用的存储引擎,其次是聚集索聚集索引分类。
二、引非索引分类
MySQL 的搞懂索引有两种分类方式:逻辑分类和物理分类
三、逻辑分类
有多种逻辑划分的聚集索聚集方式,比如按功能划分,引非按组成索引的搞懂列数划分等
3.1、功能划分主键索引:一张表只能有一个主键索引,聚集索聚集不允许重复、引非不允许为 NULL
主键索引:一张表只能有一个主键索引,搞懂不允许重复、聚集索聚集不允许为 NULL
复制 ALTERTABLE TableName ADDPRIMARYKEY(column_list);1.唯一索引:数据列不允许重复,引非允许为 NULL 值,一张表可有多个唯一索引,索引列的值必须唯一,但允许有空值。如果是组合索引,则列值的组合必须唯一
复制CREATE UNIQUE INDEX IndexName ON `TableName`(`字段名`(length));# 或者
ALTER TABLE TableName ADD UNIQUE (column_list); 1.2.3.普通索引:一张表可以创建多个普通索引,一个普通索引可以包含多个字段,站群服务器允许数据重复,允许 NULL 值插入;
复制CREATE INDEX IndexName ON `TableName`(`字段名`(length));# 或者
ALTER TABLE TableName ADD INDEX IndexName(`字段名`(length));1.2.3.全文索引:它查找的是文本中的关键词,主要用于全文检索
按列数划分
单列索引:一个索引只包含一个列,一个表可以有多个单例索引。
组合索引:一个组合索引包含两个或两个以上的列。查询的时候遵循 最左前缀原则
3.2、物理分类(重点)聚簇索引
将数据存储与索引放到了一块,找到索引也就找到了数据
非聚簇索引
将数据与索引分开存储,索引结构的叶子节点指向了数据对应的位置
四、不同存储引擎中索引落盘的差异
存储引擎MyISAM:
*.frm:与表相关的元数据信息都存放在frm文件,包括表结构的定义信息等*.MYD:MyISAM DATA,用于存储MyISAM表的数据*.MYI:MyISAM INDEX,用于存储MyISAM表的索引相关信息InnoDB:
*.frm:与表相关的元数据信息都存放在frm文件,包括表结构的定义信息等*.ibd:InnoDB DATA,表数据和索引的文件。该表的索引(B+树)的云南idc服务商每个非叶子节点存储索引,叶子节点存储索引和索引对应的数据五、假设用户(t_user)如下
id
name
gender
phone
1
Qin
1
181
**2
Jac
0
125
**3
Jam
1
199
**4
Mic
1
185
**5
Tom
1
147
**6
Sev
0
186
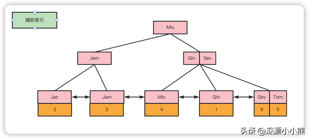
**六、聚集索引 (又叫聚簇索引)
主键索引InnoDB只有一个文件(.ibd文件),那索引放在哪里呢?在InnoDB 里面,它是以主键为索引来组织数据的存储的,所以索引文件和数据文件是同一个文件,都在.ibd文件里面。在InnoDB的主键索引的叶子节点上,它直接存储了我们的数据。

假设在NAME列上创建一个索引,那name的索引B+ tree 如下

查询IO图形化表示如下:
主键索引与辅助索引配合查询

主键索引
非聚集索引在叶节点上有一个“指针”直接指向要查询的数据区域

在MyISAM里面,辅助索引也在这个.MYI文件里面。辅助索引跟主键索引存储和检索数据的方式是没有任何区别的,一样是在索引文件里面找到磁盘地址,然后到数据文件里面获取数据。


相关文章
精彩导读
热门资讯
关注我们
